 |
 |
 |
| 碱性品绿 |
|
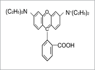
一、分子式:C28H30N2O3
分子量:442
二、物理及化学性质:溶于乙醇为粉红溶液,溶于硫酸为金黄溶液,不溶于水。
三、主要用途:用于制造油漆,绘画颜料,油墨等。
四、产品主要指标:外观:粉红色粉末,强度:为标准品的±3%
不溶于水的杂质含量:≤0.2% |
| SPECIFICATION SHEET |
products name : Rhodamine Base
Molecular Formula : C28H30N2O3
Molecular Weight : 442
Colour index : C. I. Solvent Red 49
C.I. No. : 45170:1
Cas no : 509-34-2.
Shade tone : Bright Bluish Pink
Appearance : Pink Powder
Strength : 100% + 2% Against standard
Solubility : Slightly soluble in acetone, benzene, mineral oil, parafin wax, ethyl acetate ,very soluble in cellosolve, ethanol &
methanol.
Infusibility % : 0.2%max
Properties : soluble in alcohol is pink solution,soluble in vitriol is golden solution,insoluble in Water.
Uses :Dying cotton, wool, paper silk and jutespirit inks and lacquers, soap coloration and distempers.
Packages : 25kg iron drums, cartons and woven bags.
Storage & transportation : The product must be stored in shade, dry & well-ventilated warehouse. Avoid to be contacted with
oxidizing chemicals and combustible organic substances. Keep it away from direct sunlight, heat, sparks and open lames.
Carefully handle the product and avoid damaging the package. |
|
|